Входное и выходное сопротивление каскада
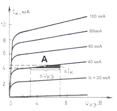
Дело в том, что транзистор оказывает разное сопротивление постоянному и переменному токам. Чтобы в этом убедиться, посмотрим на выходную характеристику транзистора. Она показывает связь между током базы, током коллектора и напряжением на коллекторе.

Выходная характеристика транзистора в схеме с общим эмиттером
Как определить сопротивление постоянному току? Очень просто, по закону Ома: взять напряжение и поделить на силу тока. Давайте вычислим сопротивление в рабочей точке А (см. рисунок). Получается 4.5 В / 4.5 мА = 1 кОм.
В случае переменного тока нужно смотреть на дифференциальное сопротивление. Если простыми словами: насколько сильно меняется ток при изменении напряжения. В приведённом примере, если напряжение на коллекторе меняется от 3 до 7 вольт при фиксированном токе базы, это довольно слабо влияет на ток коллектора, он меняется всего на 0.1 мА. Это соответствует сопротивлению (7-3)/0.1 = 40 кОм. Как видите, сопротивления постоянному и переменному току значительно отличаются.
Аналогичные рассуждения можно провести для входного сопротивления транзисторного каскада, только там нужно рассматривать вольт-амперную характеристику эмиттерного перехода.
Почему важны все эти сопротивления? Дело в том, что для наибольшей эффективности схемы сопротивления между каскадами должны быть согласованы.
Расчёт усилительного каскада
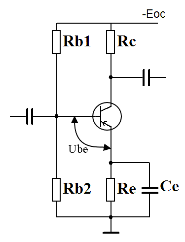
Схема с автоматическим смещением, получившая наибольшее распространение, содержит три резистора: Rb1, Rb2 и RE. За счёт отрицательной обратной связи создаваемой RE в цепи эмиттера, достигается требуемая стабилизация рабочей точки. Блокировочный конденсатор CE используется для устранения нежелательной обратной связи по переменному току. Схема эффективна как для германиевых, так и для кремниевых транзисторов. Для определения величин Rb1, Rb2 и RE должны быть известны напряжение источника питания E0C и ток покоя IС. Ориентировочные значения Rb1, Rb2 и RE могут быть определены с помощью приведённых ниже формул.

Входящие в вышеприведённые формулы b, c и UBE зависят от типа транзистора и режима его работы.
Для германиевых транзисторов выбираются: b ≈ 0,2; с – в пределах 3…5; UBE – в пределах 0,1…0,2.
Для кремниевых транзисторов: b ≈ 0,1; с – в пределах 10…25; UBE – в пределах 0,6…0,7.
При увеличении c и уменьшении b стабильность схемы снижается. Большие значения UBE выбирают для больших значений IС.
Теория это хорошо, но необходимо отрабатывать это всё практически ПОПРОБОВАТЬ МОЖНО ЗДЕСЬ
Схема цепей питания базы
Цепи питания базы содержат элементы, показанные ниже

Схема с фиксированным током

Схема с фиксированным напряжением

Схема с автоматическим смещением
Заданный режим работы транзистора устанавливается путём подачи на его базу требуемого напряжения смещения UB или создания в цепи базы требуемого тока смещения IB. В обоих случаях между эмиттером и базой устанавливается напряжение UBE,равное (в зависимости от IB) 0,1…0,3 В (для германиевых транзисторов) или 0,5…0,7 В (для кремниевых). Смещение базы может осуществляться от общего с коллектором источника питания E0C или от отдельного источника питания базовых цепей E0В.
При питании от E0C смещение базы может быть фиксированным (по току или напряжению) или автоматическим. Схемы с фиксированным током и с фиксированным напряжением не обеспечивают стабильности рабочей точки транзистора при изменении температуры.
Схема с общей базой

Схема с общей базой в упрощённом виде
В схеме с общей базой (ОБ) по входной цепи проходит уже не маленький базовый ток, а весь эмиттерный ток целиком. Из этого вытекают два следствия. Во-первых, коллекторный ток не может быть больше эмиттерного. А, значит, схема с общей базой не даёт усиления по току (по этой причине схему ОБ называют повторителем тока). Во-вторых, входное сопротивление такой схемы очень мало: ток протекает большой, а напряжение база-эмиттер невелико. Большой ток при маленьком напряжении и означает низкое сопротивление.
Что касается выходного сопротивления, оно, наоборот, выше, чем в схеме с ОЭ. Коллекторное напряжение практически не влияет на ток, т.к. цепь коллектора полностью изолирована от командного пункта транзистора, эмиттерного перехода. Маленькое изменение тока при большом изменении напряжения как раз и означает высокое дифференциальное сопротивление.
Отметим, что схема с общей базой не инвертирует сигнал. В схеме с общим эмиттером, когда напряжение на базе растёт, на коллекторе оно падает, т.е. сигнал поворачивается на 180 градусов. В схеме с общей базой такого не происходит, вход и выход находятся в фазе.
Важное преимущество схемы с общей базой — она лучше работает на высоких частотах, поскольку в ней практически к нулю сведён так называемый эффект Миллера. Остановимся на нём чуть подробнее
Усилительные параметры транзистора
Усилительные свойства транзисторов для малого переменного сигнала оцениваются с помощью различных систем параметров, связывающих входные токи и напряжения, но нормируются только два основных параметра: h21e и fТ (или fh21b). Зная параметр транзистора h21e для заданного режима покоя IE, можно с помощью следующих формул определить основные параметры усилительного каскада в области НЧ:

Таким образом, можно вычислить значения |K| — коэффициент усиления напряжения транзистора, |Ki| — коэффициент усиления тока транзистора, ZВХ — входное сопротивление транзистора:
| Параметры усилительного каскада | Схема включения | ||
| ОЭ | ОБ | ОК | |
| |K| | S*RH | S*RH | S*RH /( 1 + S*RH) |
| |Ki| | h21e | h21e/(1 + h21e) | h21e |
| ZВХ | h21e*re | re | h21e*RH |
Области применения усилительных каскадов ОЭ, ОБ и ОК определяются их свойствами.
Каскад с общим эмиттером обеспечивает усиление, как по напряжению, так и по току. Его входное сопротивление порядка сотен Ом, а выходное – десятков кОм. Отличительная особенность – изменяет фазу усиливаемого сигнала на 180°. Обладает лучшими усилительными свойствами по сравнению с ОБ и ОК и поэтому является основным типом каскада для усиления малых сигналов.
Каскад с общей базой обеспечивает усиление только по напряжению (практически такое же, как ОЭ). Входное сопротивление каскада в (1+h21e) раз меньше, чем ОЭ, а выходное – в (1+h21e) раз больше. В отличие от ОЭ каскад ОБ не изменяет фазы усиливаемого сигнала. Малое входное сопротивление каскада ОБ ограничивает его применение в УНЧ: практически он используется только как элемент дифференциального усилителя.
Каскад с общим коллектором обеспечивает усиление только по току (практически такое же, как ОЭ). В отличие от ОЭ каскад ОК не изменяет фазы усиливаемого сигнала. При К = 1 каскад ОК как бы повторяет усиливаемое напряжение по величине и фазе. Поэтому такой каскад называется эмиттерным повторителем. Входное сопротивление ОК зависит от сопротивления нагрузки RH и велико (почти в h21e раз больше RH), а выходное сопротивление зависит от сопротивления источника сигнала RГ и мало (почти в h21e раз меньше RГ). Каскад ОК благодаря большому входному и малому выходному сопротивлению находит применение как в предварительных, так и в мощных УНЧ.
Схема с общим коллектором
Схема с общим коллектором обычно применяется для получения высокого
входного сопротивления. Коэффициент усиления по мощности данной схемы включения транзистора меньше по сравнению со схемой с
общим эмиттером и соизмерим с коэффициентом усиления схемы с общей базой. Это связано с тем, что схема включения транзистора
с общим коллектором не усиливает по напряжению. В данной схеме производится усиление только по току. Функциональная схема
включения биполярного транзистора с общим коллектором приведена на рисунке 3.
На схеме, приведенной на рисунке 5, цепи питания коллектора и базы не показаны. В качестве входного сопротивления
схемы включения биполярного транзистора с общим коллектором служит сумма сопротивления базы транзистора (как в схеме с
общим эмиттером) и пересчитанного ко входу сопротивления резистора в цепи эмиттера, поэтому
входное сопротивление схемы с общим коллектором очень велико. Её входное сопротивление самое большое из всех схем включения
транзистора.
Амплитудно-частотная характеристика схемы включения биполярного транзистора с общим коллектором достаточно широкополосна.
Однако полоса пропускания усилителя может быть серьёзно ограничена из-за шунтирования высокого входного сопротивления схемы
с общим коллектором паразитными емкостями, поэтому в основном схема с общим коллектором применяется в качестве буферного
усилителя с высоким входным сопротивлением. Иногда она применяется для ослабления влияния нагрузки на характеристики
высокочастотных генераторов и синтезаторов частоты.




























