Действия при обнаружении проблемы
Сразу после выявления проблемы персонал приступает к ее устранению. Есть два пути:
- Прекращение добычи нефти из скважины, в которой были обнаружены нефтепродукты.
- В случае интенсивного развития обучения работы на соседних скважинах приостанавливаются, чтобы избежать широкого распространения проблемы.
В первую очередь вахта герметизирует устье скважины, канал и колодец, обязательно сообщив направление аварии. Как только устанавливаются признаки газового, нефтегазового и водного шоу, начинает работать специальный коллектив — рабочие, прошедшие профильное обучение и имеющие соответствующую квалификацию.
Ликвидация проводится с помощью специального оборудования — трубы опускаются в условиях высокого давления. Для приостановки процессов HNVP в скважине создается оптимальный уровень уравновешивающего давления. Он может быть равен уровню резервуара или превышать его.

При опускании оборудования в условиях ГХВП может возникнуть фонтан. Затем бригада переходит к его блокированию, полагаясь на действия в аварийных ситуациях. Кроме того, привлекаются представители организации по техническому надзору.
В случае добычи нефти и газа скважина перекрывается баритовой пробкой. Создает водонепроницаемую перегородку в швах и позволяет ставить бетонный мост сверху. Если просачивание газ-нефть-вода открывается при работе двух насосов, то их работа обеспечивается либо одной емкостью, либо двумя, но с блокировочными устройствами.
Действия перед вскрытием пласта с возможным ГНВП:
- инструктаж членов буровой бригады по практическим действиям при ликвидации газонефтепроявлений согласно «Инструкции по предупреждению газонефтеводопроявлений и открытых фонтанов при строительстве и ремонте скважин в нефтяной и газовой промышленности», РД 08-254-98г. и «Типовой инструкции по предупреждению и первичным действиям вахты при ликвидации газонефтеводопроявлений», утвержденной Госгортехнадзором 16.11.88 г.;
- проверку состояния буровой установки, ПВО, инструмента и приспособлений; на буровой необходимо иметь 2 шаровых крана.
1 шаровой кран устанавливается между рабочей трубой и вертлюгом, 2й — между рабочей трубой и ее предохранительным переводником.
Все краны должны быть в открытом состоянии.
Кроме шаровых должно быть 2 обратных клапана с приспособлением для их открытия;
- превенторы вместе с крестовинами и коренными задвижками должны быть опрессованы на рабочее давление, сроки опрессовки согласовываются с Межрегиональным Управлением по технологическому и экологическому надзору Ростехнадзора РФ;
- проверяется крепление отводов ПВО и при необходимости выкидные линии ПВО после концевых задвижек манифольда переопрессовываются с составлением акта опрессовки;
- плашечные превенторы ежесменно проверяются на закрытие и открытие;
- при смене плашек, замене вышедших из строя деталей превенторы опрессовываются на давление опрессовки последней колонны;
- при разноразмерном инструменте аварийная труба на приемных мостках должна быть покрашена в красный цвет, иметь соответствующие по размеру переводники, которые должны соответствовать прочностной характеристике верхней секции бурильных труб;
- учебная тревога. Дальнейшая периодичность учебных тревог устанавливается буровым предприятием;
- оценка готовности объекта к оперативному утяжелению бурового раствора, пополнению его запасов путем приготовления или доставки на буровую.
Перед вскрытием продуктивного горизонта на буровой должен быть 2-кратный запас бурового раствора с учетом объема раствора в скважине и неприкосновенный (аварийный) запас материалов и химреагентов для приготовления бурового раствора в объеме скважины.
Вскрытие продуктивного пласта должно производиться после проверки и установления готовности буровой установки к проведению этих работ комиссией под представительством главного инженера бурового предприятия с участием представителей военизированного отряда.
По результатам проверки составляется акт готовности и военизированным отрядом выдается письменное разрешение на вскрытие и бурение продуктивного пласта.
Порядок выдачи разрешения на дальнейшее углубление скважины после монтажа и опрессовки ПВО совместно с обсадной колонной, цементного кольца за обсадной колонной определен в п. 262, 263 «ПБ в НиГП-2013».
При обнаружении ГНВП буровая вахта обязана загерметизировать канал бурильных труб, устье скважины, информировать об этом руководство буровой организации, противофонтанную службу и действовать в соответствии с документацией по ликвидации проявления.
Перед герметизацией канала бурильных труб должны быть сняты показания манометров на стояке и в затрубном пространстве, время начала проявления, вес инструмента на крюке.
После закрытия превенторов при ГНВП необходимо установить наблюдение за возможным возникновением грифонов вокруг скважины и пропусков (жидкости, газа) в соединениях и узлах ПВО.
Ранние признаки: прямые
Итак, начнем с прямых признаков HNVP:
- Увеличение объема (а это значит, что жидкость уже начала поступать в скважину).
- Увеличение поступающей в приемную емкость промывочной жидкости при опускании шлангов относительно расчетных показателей.
- Уменьшите при подъеме залитого жидкостного трубопровода относительно расчетного объема.
- Вышеуказанная громкость не соответствует громкости поднятых инструментов.
- Увеличение скорости (увеличение потока) исходящих потоков промывочной жидкости, когда поток насоса остается неизменным.
- Промывочная жидкость продолжает движение по системе желобов после прекращения циркуляции.

Инструкция
по
предупреждению возникновения
газонефтеводопроявлений
и
открытых фонтанов при бурении нефтяных
и газовых
скважин
Введение
Настоящая
инструкция разработана на основании
требований «Инструкции по предупреждению
газонефтеводопроявлений и открытых
фонтанов при строительстве и ремонте
скважин в нефтяной и газовой промышленности»
(РД 08-254-98) с учетом специфики работ,
проводимых в условиях Западной Сибири.
При
подготовке настоящей Инструкции
использованы Правила безопасности в
нефтяной и газовой промышленности (ПБ
08-624-03), нормативно-техническая база в
области предупреждения и ликвидации
газонефтеводопроявлений и открытых
фонтанов, заключения органов
государственного надзора и контроля.
Основными
целями настоящей Инструкции являются
организация работы по предупреждению
газонефтеводопроявлений и открытых
фонтанов, повышение безопасности и
противоаварийной устойчивости объектов
нефтегазодобывающих предприятий.
При
выполнении работ по ликвидации открытых
газовых и нефтяных фонтанов следует
руководствоваться «Инструкцией по
организации и безопасному ведению работ
при ликвидации открытых газовых и
нефтяных фонтанов», согласованной
письмом Госгортехнадзором России от
29.07.2003 № 10-03/800, утвержденной первым
заместителем Министра энергетики РФ и
заместителем Председателя ОАО «Газпром».
Причины возникновения газонефтеводопроявлений
2.1.
Главным условием возникновения ГНВП
является превышение пластового давления
над давлением, создаваемым столбом
промывочной жидкости в интервале пласта,
содержащего флюид.
2.2.
Основными причинами возникновения
газонефтеводопроявлений являются:
2.2.1.
Недостаточная плотность бурового
раствора вследствие ошибки при
проектировании или несоблюдения
рекомендуемых параметров раствора
буровой бригадой.
2.2.2.
Недолив скважины при подъеме бурильного
инструмента или простое.
2.2.3.
Поглощение бурового раствора.
2.2.4.
Подъем бурильного инструмента с сальником
(эффект поршневания).
2.2.5.
Высокая скорость подъема или спуска
колонны труб.
2.2.6.
Установка жидкостных ванн для ликвидации
прихвата без выполнения соответствующих
расчетов.
2.2.7.
Снижение плотности бурового раствора
в результате химической обработки.
2.2.8.
Длительные простои без промывки скважины.
2.2.9.
Высокое значение вязкости и СНС бурового
раствора.
2.2.10.
Разрушение обратных клапанов бурильных
или обсадных колонн в процессе их спуска.
2.2.11.
Нарушение целостности обсадных или
бурильных колонн при их спуске в скважину
без заполнения их промывочной жидкостью.
2.2.12.
Некачественное крепление технических
колонн, перекрывающих газонефтеводонасыщенные
напорные горизонты.
2.3.
Наличие в разрезе скважины газовых
пластов, а также нефтяных и водяных
пластов с большим количеством растворенного
газа значительно увеличивает опасность
возникновения ГНВП, даже если пластовое
давление ниже гидростатического.
Повышенная
опасность объясняется следующими
свойствами газа:
2.3.1.
Способностью к диффузии, т.е. проникновению
через фильтрационную корку на стенках
скважины в буровой раствор и, путем
накопления в нём, образовывать газовые
пачки.
2.3.2.
Способностью газовых пачек к всплытию
в столбе бурового раствора с одновременным
расширением и вытеснением раствора из
скважины.
Методы ликвидации ГНВП
Способ «непрерывного глушения скважины»
При данном способе скважину начинают глушить сразу после ее закрытия при постоянном утяжелении раствора глушения, используемого для циркуляции, т.е. совмещают процесс вымыва пластового флюида с повышением плотности жидкости глушения до значения, необходимого для равновесия в скважине.
В этом способе обеспечивается минимальное время нахождения устьевого оборудования под давлением, а при достаточно интенсивном утяжелении раствора – и наиболее низкие давления в колонне при глушении.
Вследствие вышесказанного способ “непрерывного глушения” считается наиболее безопасным, но в то же время и наиболее сложным для обучения из-за необходимости построения графиков давления в бурильных трубах.
Способ «ожидания и утяжеления»
При этом способе после герметизации скважины предварительно утяжеляют необходимый объем жидкости глушения до требуемой плотности в запасных емкостях, а затем проводят само глушение.
Этот способ весьма опасен, так как всплывающий по затрубному пространству газ создает на устье скважины избыточное давление, что может привести к разрыву колонны или гидроразрыву пластов.
Помимо этого, скважина на какой-то период остается без циркуляции, что повышает вероятность прихвата инструмента.
Способ «двухстадийного глушения скважины»
Вначале промывают скважину с противодавлением в целях очистки от пластовых флюидов – стадия вымыва пластового флюида. Затем циркуляцию прекращают, увеличивают плотность раствора глушения и глушат скважину – стадия глушения.
Данный способ относительно безопасен, не требует построения графиков давления и нуждается в минимуме расчетов. Однако при его применении создаются наибольшие давления в колонне.
Нежелательным является остановление промытой скважины без циркуляции в период утяжеления раствора глушения в запасных емкостях.
Способ «двухстадийного, растянутого глушения»
Промывают скважину с противодавлением для очистки жидкости глушения от пластовых флюидов, а затем постепенно увеличивают плотность циркулирующего раствора без прекращения циркуляции.
Этот способ используется весьма редко, так как обладает недостатками всех трех предыдущих способов.
Способ ступенчатого глушения скважины
Данный способ применяетсяется при глушении скважин в тех случаях, когда при закрытии скважины после выявления факта наличия проявлений или уже непосредственно в процессе глушения скважины давление в колонне (“перед дросселем”) станет превышать заранее определенное, максимально допустимое для самой колонны или гидроразрыва пород самого опасного участка ниже башмака колонны.
Причины явления
Толерантность ГНВП (расшифровка — газонефтяное шоу) в производстве очень нежелательна. Вот основные причины этой проблемы:
- Изначально неправильное планирование работы. Это привело к некорректным действиям при создании давления рабочего раствора при капитальном ремонте. Внешнее давление продавило соединительный шов колонн, что привело к HNVP.
- Нарушен ряд правил работы на руднике: по эксплуатации, развитию и ликвидации аварийной ситуации.
- Подземные работы были неправильно спланированы — в результате они привели к снижению уровня жидкости в колонне.
- При остановке плотность рабочей жидкости уменьшалась из-за проникновения газа или воды через стенки.
- Причина могла быть внутри колодца: это потеря жидкости.
- Разработка процессов всасывания жидкостей в скважину.
- продолжается разработка пластов с высоким содержанием воды и растворенных в них газов.
- Не соблюдался правильный временной интервал между рабочими циклами. Одна из основных причин заключается в том, что в течение 1,5 дней не проводилось мытье.

3.2. Метод бурильщика.
Ликвидация выброса по методу бурильщика (двухстадийный метод) состоит из шести этапов.
На первом этапе производится закрытие скважины. В процессе закрытия и после закрытия осуществляется постоянный контроль за давлением на выходе из скважины. Ре, чтобы оно не привысило допустимое значение Ре.доп. В противном случае имеет место фонтан и ликвидация выброса невозможна.
После закрытия скважины выдерживается в покое в течении пяти минут для стабилизации давлений в закрытой скважине, а затем измеряется давление на входе в закрытой скважине Рн. зкр. и на выходе из скважины Ре. зкр.
Высота столба поступившего флюида в КП скважины рассчитывается по формуле:

где:

поступившего флюида, м:

где: Fкп – площадь поперечного сечения КП скважины , м 2 ,
UЕ0 — начальный уровень раствора в емкостях, м (1м),
UЕ1, UЕ2— уровни раствора в емкостях 1 и 2, м,
F1, F2 – площадь приемных емкостей 1 и 2, м 2 .
Плотность поступившего флюида рассчитывается по формуле:

где:

Ре.зкр — давление на выходе в закрытой скважине, кг/см 2 ,
Рн.зкр – давление на входе в закрытой скважине, кг/см 2 .
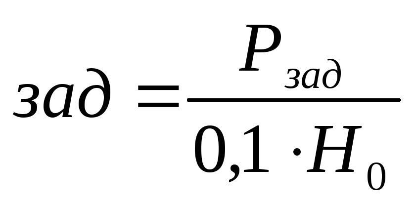
На втором этапе рассчитываются параметры ликвидации выброса. Заданное давление на забой рассчитывается по формуле:
Рзад = Рпл+ Δ Рзаб (3.4)
Ргс.бт = 0,1

Где: Рпл – пластовое давление, кг/см 2 ,
Δ Рзаб – диапазон безопасности на снижение забойного давления,
кг/см 2 (15 кг/см 2 ),
Ргс.бт – гидростатическое давление в БТ, кг/см 2 ,
Н – глубина скважины, м.
Плотность утяжеленного раствора, необходимое для создания равновесия между пластовым и гидростатическим давлениями на забое скважины расчитывается по формуле:

Давление нагнетания, обеспечивающее поддержание заданного давления равного заданному расчитывается по формуле:
ΔРбт = 10 -8
(3.10)
где: ΔРбк — потери давления в бурильной колонне, кг/см 2 ,
ΔРбт — потери давления в бурильных трубах (БТ и УБТ), кг/см 2 ,
Крт — коэффициент гидравлических сопротивлений в БТ и УБТ, м -5 ,
— плотность раствора в БТ и УБТ, г/см 3 ,
Qн — расход на входе в скважину, л/с,
Lи — длина инструмента в скважине, м,
ΔРтб — потери давления в турбобуре, кг/см 2 .
При роторном бурении ΔРтб = 0, а при турбинном вычисляется по следующей формуле:
ΔРтб = 10 -8

где: КТБ – коэффициент потерь давления в турбобуре, м -4 , (= 2·10 6 )
QД – расход раствора, подаваемого к долоту, л/с.

где: Крд— коэффициент гидравлических сопротивлений в долоте,
Fд – суммарное сечение промывочных отверстий долота, м 2


где:

Давление на выходе, обеспечивающее поддержание забойного давления равного заданному расчитывается по формуле:
На третьем этапе производится вымывание флюида из скважины раствором старой плотности. При этом необходимо поддерживать постоянными подачу насоса при закачке раствора и давление в бурильных трубах регулированием дросселя. После того, как флюид будет вымыт закрыть скважину. Давление на выходе в закрытой скважине должно быть таким же, как на входе.
На четвертом этапе производится утяжеление бурового раствора в емкостях до заданного назначения.
На пятом этапе производится закачка в скважину утяжеленного бурового раствора с заданной плотностью. При этом необходимо поддерживать постоянным подачу насоса при закачке утяжеленного раствора и давления в обсадной колонне регулирования дросселя.
Когда утяжеленный буровой раствор достигнет долота, записать давление в бурильных трубах. Поддерживать давление в бурильных трубах постоянным регулированием дросселя. Когда утяжеленный буровой раствор достигнет поверхности, закрыть скважину. Давления на входе и на выходе в закрытой скважине должны быть равны нулю.
На шестом этапе производится открытие скважины и осуществляется контроль восстановления равновесия в скважине между пластовым давлением и гидростатическим столбом утяжеленного бурового раствора. При этом уровень раствора в емкостях не должен увеличиваться. В противном случае ликвидация выброса продолжается за счет дальнейшего увеличения плотности раствора.
Если пластовое давление уравновешивается гидростатическим (уровень раствора в емкостях не растет), то выброс считается ликвидированным.
Источник
Обучение и подготовка персонала
Согласно правилам техники безопасности в нефтегазовой отрасли (пункт 97), мы можем установить, что каждые два года знания проверяются в разделе «Контроль скважин. Организация работ на (читатель знает расшифровку) НКТ для нефти и газа» . Сертификат выдается сроком на три года.
Вышесказанное относится к сотрудникам, которые выполняют как непосредственную работу, так и процессы контроля для:
- бурение и освоение скважин;
- проводить взрывные и геофизические работы на этих объектах.
- их ремонт и восстановление;
Чем раньше будут обнаружены ГНВП, тем больше шансов предотвратить усложнение проблемы — значительный простой при добыче нефти, ведущий к большим потерям уже финансового плана
Во избежание развития газонефтяных инфильтратов необходимо уделять должное внимание внешним датчикам объема, плотности и давления рабочей жидкости
Признаки обнаружения ГНВП
Подразделяются на раннего и позднего обнаружения.
Признаки РАННЕГО обнаружения подразделяются на прямые и косвенные.
6-1. ПРЯМЫЕ ПРИЗНАКИ:( напрямую показывают о ГНВП)
1. Увеличение объема(уровня) ПЖ в приемных емкостях.
2. Увеличение скорости потока р- ра на выходе из скважины.
3. Уменьшение объема доливаемой жидкости при подъеме инструмента.
4. Увеличение объема вытесняемой жидкости при спуске инструмента.
5. Движение р- ра по желобам при отсутствии промывки и СПО.
При обнаружении любого прямого признака необходимо загерметизировать устье скважины!!!
11-1 Б. КОСВЕННЫЕ ПРИЗНАКИ:( Может быть признаком как ГНВП так и аварийной ситуации на скважине)
1. Изменение давления промывки по манометру на стояке.( Давление падает)
2.Увеличение веса инструмента по ГИВ-6 (ИВЭ).
3.Увеличение механической скорости бурения в продуктивном пласте.
4.Увеличение крутящего момента на роторе.
5.Повышение содержания газа в ПЖ.
ПРИ ОБНАРУЖЕНИИ косвенных признаков (одного или нескольких) необходимо УСИЛИТЬ КОНТРОЛЬ за скважиной для выявления прямых признаков.
Признаки ПОЗДНЕГО обнаружения:
1. Снижение плотности ПЖ.
2.Увеличение вязкости ПЖ.
3.Перелив р- ра через устье (выкидывание р-ра).
4.Появление пачки газа или нефти на устье скважины.
3-1. ГНВП при спуске инструмента, -причинами является:
— увеличение скорости спуска;
(Возникновение поршневого эффекта, с образованием избыточного давления под долотом с последующим гидроразрывом пласта и поглощением промывочной жидкости. Уменьшается высота столба ПЖ и уменьшение противодавления на пласт, приводит к ГНВП)
-увеличение диаметра инструмента;
-уменьшение диаметра скважины;
-увеличение вязкости раствора;
Мероприятия:
1.Ограничение скорости спуска инструмента.
2.Соблюдение регламента промежуточных промывок.
3.Проработка сужений, сальников призабойной зоны.
5-1. ГНВП при подьёме инструмента.
1. –не контролируемый долив, или подъем без долива;
2. –подъем инструмента с сифоном;
3. –превышение скорости подъема с возникновением гидропоршневого эффекта.(всасывание)
4. -осложнённый ствол скважины;
5. -большие значения СНС.
Мероприятия:
1 -Непрерывный долив скважины,обеспечивающий равенство объема доливаемого раствора с объемом поднятых труб;(по таблице объема труб и тарировке емкости долива).
2 – Контроль за параметрами промывочной жидкости.
3 – Промывка до полного выравнивания параметров раствора в трубах и за трубами (не менее одного цикла).
4 –Запрещение подъема с сифоном и поршневанием.
5 –Ограничение скорости подъема.(согласно ГТН)
4-1. ГНВП при бурении и циркуляции, причиной может быть:
а)- повышение плотности бурового раствора;
б)- понижение плотности бурового раствора;
в)- увеличение гидравлических сопротивлений в затрубном пространстве.
Р А С С М О Т Р И М эти причины.
а).- Повышение плотности бур. р-ра может привести к проявлениям, вследствии увеличения давления на пласты, с их гидроразрывом, поглощением р-ра и снижением
уровня столба жидкости в скважине. Плотность р-ра повышается вследствии:
— насыщения р-ра глинистой фазой при проходке глинистых отложений;
— загрязнения р-ра шламом;
— приготовления р-ра завышенной плотности.
б).- Снижение плотности р-ра происходит при:
— разгазировании р-ра газом из пласта;
— разбавлении р-ра нефтью и пластовой водой;
— вспенивании р-ра при хим. обработке;
— выпадении утяжелителя в осадок.
в).- Увеличение гидравлических сопротивлений происходит при:
-сужении ствола скважины; -образовании толстой глинистой корки и сальников на
стенках скв-ны; -увеличения вязкости и СНС р-ра; -высокой скорости потока;
-и большой глубины скважины.
При увеличении гидравлических сопротивлений в кольцевом пространстве создаётся
дополнительное давление на пласты, что приводит к поглощению с падением уровня
раствора в скважине.
7-1.ГНВП при креплении скважины, -причинами является:
а).-вследствии спуска и крепления ОК в условиях поглощения; (СПУСКАТЬ ОК в
ОСЛОЖНЁННУЮ скважину ЗАПРЕЩАЕТСЯ.!!!)
б).-недолива жидкости в колонну при ее спуске, при наличии обратного клапана;
в).-отсутствие промежуточных промывок;
г).- гидропоршневого эффекта при спуске ОК;
д) -нарушение технологий приготовлений и закачки;
е) -ошибки при расчетах которые могут привести к перетокам из затрубного в трубную и наоборот.
Следует учитывать объемы и удельные веса:
а) жидкости глушения;
б) буферной жидкости;
в) цементного раствора;
г) продавочной жидкости.
М Е Р О П Р И Я Т И Я: -заключаются в недопущении (или устраненении) причин.
Методы устранения ГНВП
Как только истинная причина HNVP установлена, необходимо выбрать одно из наиболее эффективных средств от нее. Их четыре.
Хорошо убить в два этапа. Здесь самое главное: четкое разделение рабочих фаз при промывке маслянистой жидкости тем же раствором, который был на момент обнаружения причины HOC, и при этом приготовление нового раствора, имеющего необходимую плотность за убийство. Первым делом заглушите колодец. Второй — замена рабочей жидкости.
Варенье из смолы. Он эффективен, когда давление в канате перед перетяжкой увеличивается по сравнению со значением максимально допустимого для него (каната) или гидроразрыва уровня башмака. Сначала открывается дроссель, чтобы снизить давление в канате.
По этой причине в глубине будет наблюдаться новый приток воды и газа. Поскольку пик создаваемого давления непродолжителен, при следующем небольшом открытии дроссельной заслонки одновременно производится промывка скважины. Действия повторяются до полного исчезновения признаков ГНВП и нормализации показателей пикового давления.
Жду набора веса. Как только обнаруживается инфильтрация газа, нефти и воды, персонал останавливает добычу нефти и закрывает скважину. Далее готовится раствор необходимой плотности. В скважине необходимо поддерживать давление, аналогичное пластовому, чтобы остановить закачку нефти и дальнейший подъем нефтяной жидкости на поверхность.

длительное убийство в 2 этапа. После обнаружения HNVP жидкость смывают тем же раствором. Затем его плотность (раствор) меняют на требуемую. Метод в основном используется при отсутствии подходящих емкостей для приготовления необходимого объема рабочей жидкости. Этот метод получил свое название из-за того, что процесс выщелачивания жидкости с его помощью несколько более длительный по времени, чем при обычном двухступенчатом глушении.
Классификация скважин по степени опасности возникновения ГНВП
По степени опасности возникновения газонефтеводопроявлений скважины распределяются на три категории:
Первая категория
- Газовые скважины вне зависимости от значения пластового давления.
- Нагнетательные и наблюдательные скважины, перфорированные в зоне газоносного пласта.
-
Нефтяные скважины, в которых выявлено поступление газа в скважину через негерметичность колонны или в результате заколонной циркуляции.
- Нефтяные скважины, у которых в разрезе близко расположенны между собой газовые и продуктивные нефтяные горизонты с мощностью разделяющей перемычки менее 3-х метров, а также находящиеся от внешнего контура ГНК на расстоянии 500 метров и ближе.
- Нефтяные скважины с газовым фактором, превышающим 100 м3/т.
- Водонагнетательные скважины на участке водогазового воздействия.
- Все скважины с отсутствием циркуляции.
- Разведочные скважины.
- Нефтяные скважины с внутрискважинным газлифтом.
- Нефтяные и нагнетательные скважины, в которых пластовое давление выше гидростатического более чем на 10%.
Вторая категория
- Нефтяные скважины, у которых пластовое давление выше гидростатического менее чем на 10% и газовый фактор не более 100 м3/т.
- Нагнетательные скважины с пластовым давлением больше гидростатического менее чем на 10%.
Третья категория
- Нефтяные скважины, у которых давление равно или ниже гидростатического.
- Скважины, расположенные вне контура газоносности, пластовое давление которых в зоне закачки равно или ниже гидростатического.
- Прочие скважины (водозаборные, артезианские, поглощающие и т.д.).
Ранние признаки: косвенные
Итак, косвенные признаки ГНВП:
- POR увеличился. Это свидетельствует о возникновении депрессии, снижении противодавления на пласт или входе в легкопробиваемые породы.
- Увеличился вес бурильной колонны. Это может быть признаком уменьшения плотности бурового раствора из-за попадания пластового флюида в скважину. И это тоже проявление уменьшения трения каната о стенки колодца.
- Давление на насосы (стояк) уменьшилось. Это может свидетельствовать о выбросе большого объема легкой жидкости в затрубное пространство или образовании сифона. Также это признак нарушения герметичности колонки, сбоя в работе насосов.
Они обращают внимание на косвенные сигналы только в том случае, если есть прямые, потому что они говорят только о возможном ВНВП среди причин других проблем. При их проявлении (косвенные признаки) контроль над колодцем усиливается
Это необходимо для выявления и без того прямых признаков HNVP.

Признаки ГНВП
Поступление пластового флюида в скважину, определенно отражается на гидравлических характеристиках потока и свойствах промывочной жидкости, которая выходит из скважины.
В зависимости от времени поступления, интенсивности притока флюида, признаки и сигналы которые возникают на поверхности обладают различной информативностью и значимостью. Практикой установлены основные признаки ГНВП:
— увеличение уровня (объема) промывочной жидкости и циркуляционной системе;
— рост скорости потока промывочной жидкости на выходе из скважины;
— увеличение выше расчетного уровня (объема) промывочной жидкости в циркуляционной системе при спуске инструмента;
— рост механической скорости бурения;
— увеличение содержания газа в промывочной жидкости;
— изменение свойств промывочной жидкости;
— изменение давления на буровых насосах.
Вместе со шламом, или через стенки скважины, в промывочную жидкость постепенно, в виде мелких пузырьков, может проникать газ. Во время продолжительных перерывов промывочная жидкость очень сильно насыщается газом. Это объясняется тем, что пузырьки газа, которые находятся на забое скважины, ввиду нахождения под большим давлением сильно сжаты, отчего очень малы. При восстановлении циркуляции, промывочная жидкость с пузырьками газа поднимается вверх. С уменьшением глубины, уменьшается давление, и пузырьки газа увеличиваясь в размере становятся довольно крупными, и, занимая определенный объем значительно уменьшают удельный вес промывочной жидкости. С уменьшением удельного веса, уменьшается гидростатическое давление столба жидкости в скважине, что приводит к выбросу.
Вода и нефть, которые постепенно просачиваются в скважину, тоже уменьшают удельный вес промывочной жидкости, что по аналогии с газом, также может привести к выбросу. Недолив скважины при подъеме инструмента, или потеря циркуляции проводят к понижению уровня в скважине, соответственно уменьшению гидростатического давления, в результате чего может возникнуть выброс.
В вышеуказанных случаях, необходимо произвести увеличение подачи буровых насосов, приостановить процесс бурения до особого распоряжения, и наряду с этим выполнить дегазацию промывочной жидкости.
Для предупреждения выброса, должно выполняться условие превышения гидростатического давления столба жидкости в скважине на 5-15% над пластовым. Это давление называется избыточным, и достигается утяжелением бурового раствора, посредством реагентов «утяжелителей»
При этом необходимо обращать особое внимание на значение условной вязкости раствора, по возможности сохраняя его минимальным
Однако, следует иметь ввиду, что для предупреждения выбросов нельзя ограничиваться только лишь утяжелением промывочной жидкости. Утяжеление раствора это весьма длительная операция, а выброс может начаться неожиданно, в чрезвычайно малый промежуток времени.
Устье скважины должно быть оборудовано специальным противовыбросовым оборудованием, которое позволяет предотвратить выброс немедленным закрытием скважины
Причины возникновения ГНВП
- Недостаточная плотность раствора глушения вследствие ошибки при составлении плана работ или несоблюдения рекомендуемых параметров раствора бригадой текущего, капитального ремонта и освоения скважин.
- Отсутствие долива скважины при спускоподъемных операциях инструмента и оборудования.
- Поглощение жидкости, находящейся в скважине.
- Глушение скважины перед началом работ недостаточным объемом.
- Снижение плотности жидкости в скважине при длительных остановках за счет поступления газа из пласта.
- Несоблюдение технологии эксплуатации, освоения и ремонта скважин.
- Длительные простои скважины без промывки.
- Наличие в разрезе скважины газовых пластов, а также нефтяных и водяных пластов с большим количеством растворенного газа значительно увеличивающих опасность возникновения газонефтеводопроявлений (даже если пластовое давление ниже гидростатического).
Газ может находиться в скважине в растворенном состоянии, либо в виде пузырьков, находящихся в покое относительно жидкости (т.е. не всплывает самостоятельно).
Рис. 2. Положение газа в скважине

а б в
а – в виде пузырьков, размер которых значительно мал относительно общего объема жидкости (пузырьковый режим); б – в виде пузырей, диаметр которых соизмерим с диаметром трубы (снарядный режим всплытия); в – кольцевой режим, где газ занимает все сечение затрубного пространства, что характерно для выброса и фонтана.
Первые два положения особой опасности не представляют, потому что забойное давление уменьшается незначительно. Если предполагать, что в скважину поступила компактная пачка газа (например при подъеме инструмента), то для идеальных условий при всплытии этого газа в закрытой скважине давление на забое почти удвоится.
Так как в идеальных условиях объем газа не изменится (в закрытой скважине), то согласно закону Бойля-Мариотта:
P1V1=P2V2
Такое увеличение давления может повредить скважину или вызвать большое поглощение и как следствие – выброс. Если при тех условиях газ поднимается в скважине с открытым устьем, и ввиду того, что давление под газом и, соответственно, самого газа уменьшается, то, согласно закону Бойля-Мариотта, объем газа будет увеличиваться, что приводит к уменьшению гидростатического столба бурового раствора и, соответственно, к снижению забойного давления. На некоторой глубине произойдет выброс раствора, что приведет к резкому снижению забойного давления. Забойное давление в процессе подъема газа в скважине с открытым устьем, может оказаться ниже пластового, что неизбежно приведет к работе пласта и возможно к выбросу.
Причины перехода ГНВП в открытые фонтаны
- Низкая обученность персонала бригад освоения, ремонта скважин и инженерно-технических работников предприятий приемам и методам предупреждения и ликвидации газонефтеводопроявлений.
- Несоответствие конструкции скважины горно-геологическим условиям вскрытия пласта и требованиям “Правил безопасности в нефтяной и газовой промышленности”.
- Некачественное цементирование обсадных колонн.
- Отсутствие, неисправность, низкое качество монтажа противовыбросового оборудования на устье скважины.
- Неправильная эксплуатация противовыбросового оборудования.
- Отсутствие устройств для перекрытия канала насосно-компрессорных или бурильных труб.


























